Skip to main content
Home Township Library Edmore, Michigan

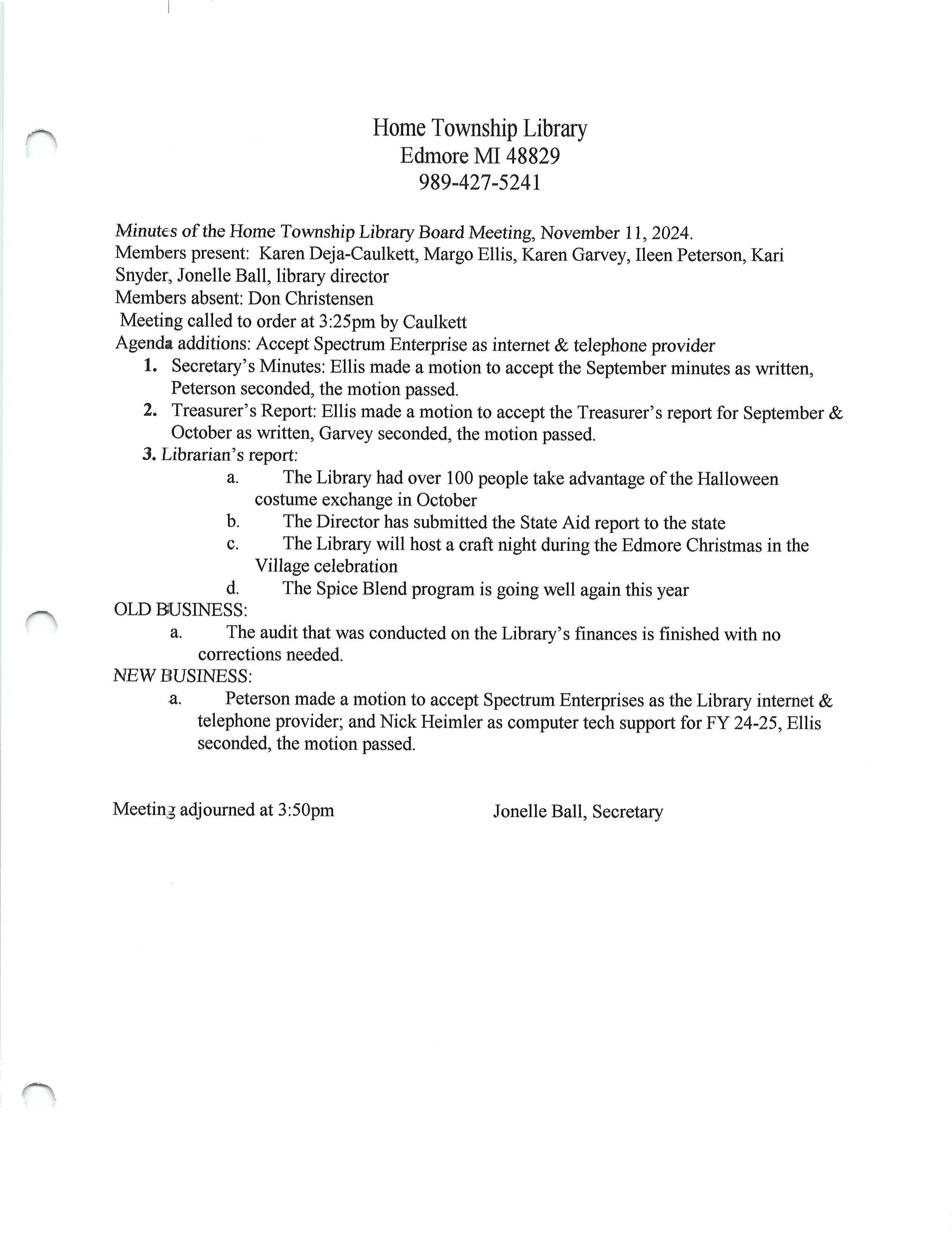
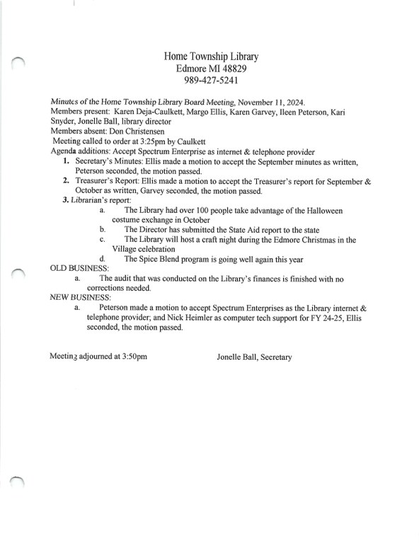
November 2024 Library board minutes

November 2024 Library board minutes
Download View full-size image